22
해시테이블 해시함수
호너의 법칙(Horner's method)
다항식(polynominal)을 효율적으로 계산할 수 있는 단항식으로 바꾸는 방법.
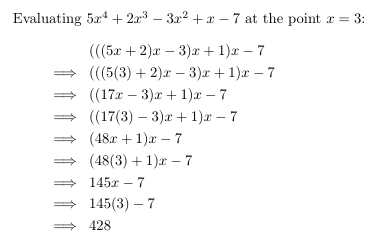
예를들어 가 있고 이라고 하면 아래처럼 계산되고 결과 값은 428이 된다.

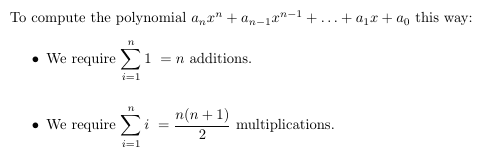
곱셈 10(n*(n+1)/2)번에 덧셈 5(n)번이 필요함. 이것을 일반화했을 때 n차 다항식에서 필요한 덧셈과 곱셈의 횟수는 아래와 같다.

우리는 이를 코드로 구현해야하는데, 리소스 낭비를 줄이기 위해서 호너의 법칙을 이용하면 곱셈을 덜 할 수 있게 된다
실제 예시에 적용시켜보면

곱셈 4(=n)번 덧셈 4(=n)번으로 훨씬 줄어든 것을 확인할 수 있다.

호너의 법칙 알아서 뭐함?
문자열 속에서 특정 부분문자열을 찾고자할 때 해시된 값으로 비교할 때 쓰임
std::string 문자열 = "THISISATESTTEXT"std::string 찾고싶은문자열 = "TEST"해싱을 모르면 찾고싶은문자열 의 글자 하나하나를 떼다가 문자열에 존재하는지 비교하고, 연속하고 있는지 여부까지 판별해야할 것이다
하지만 해싱 값으로 비교한다면 더 간단하게 찾아낼 수 있음.
찾고싶은문자열을 해시함수에 넣어 H찾고싶은문자열을 구하고 문자열을 0번째 인덱스부터 찾고싶은문자열의 길이만큼 증가하며 순회해 포함여부를 알아낸다.
예를들어 H찾고싶은문자열이 80이고 문자열을 찾고싶은문자열의 길이만큼 해싱한 테이블이 있다면 다음과 같이 찾아낼 수 있다.
| 부분문자열 | 해시결과 |
|---|---|
| THIS | 10 |
| HISI | 20 |
| ISIS | 30 |
| SISA | 40 |
| ISAT | 50 |
| SATE | 60 |
| ATES | 70 |
| TEST | 80 |
| ... | ... |
이런 알고리듬을 '라빈 카프 문자열 매칭 알고리듬(Rabin-Karp String Matching Algorithm)'이라고 하는데, 이 알고리듬에서 해시 함수는 rolling hash 기법을 사용한다고 한다. 이를 우리의 예시 TEST로 적용시키면 아래와 같다. T, E, S, T의 아스키 코드 변환 값을 넣어주고, 2에 해당하는 숫자는 문자 코드의 크기(아스키 코드 = 256개)를 넣어주면 된다고 한다.
문제는 이 때에도 해시 충돌 현상은 피할 수 없으며 때문에 찾고싶은 문자열의 해시 값과 부분문자열의 해시 값이 같을 때 진짜 같은 문자열인지 검증하는 단계가 필요하고, 이를 위해 과 같은 곱연산이 추가되었다고 이해하면 되겠다.
Q1. 문자열이 길어지면 해시 함수 연산량 감당 어케함?
A. 여기에 호너의 법칙이 사용된다.
Q2. 문자열이 길어지면 해시값 오버플로우 발생할 수 있지 않음?
A. 그래서 모듈러(%) 연산을 사용해 줄여준다. 이 때 큰 소수(big prime number)를 사용하는 것이 효과적이라 알려져있다
Q3. 근데 이것도 일일이 비교하는거랑 다를게 뭐임?
A. 그래서 해시 계산 최적화 유도식이 나왔다. 다음 해시는 이전 해시에서 맨처음 문자 계산 값을 빼고 마지막 문자 계산값을 더해주면 된다.
따라서 문자의 길이와 상관없이 최초로 구한 해시값만 있으면 항상 2개의 문자에만 접근하면 다음 해시값을 쉽게 구할 수 있게 된다.
라빈카프 알고리즘의 평균(average) 및 최고(best) 시간복잡도는 이지만 최악(worst)의 경우는 이다.
최악의 경우 = P[] = "AAA", S[] = "AAAAAAA"
호너의 법칙 적용한 해시함수
static int GenerateHash(const std::string& keyString){ // "ABCD" [A,B,C,D] = [65,66,67,68] // "ABCD" == "DCBA" int hash = 0; const int length = static_cast<int>(keyString.length()); for (int ix = 0; ix < length; ++ix) { hash = hash * 31 + keyString[ix]; }}String 객체 해시 함수에서 31을 사용하는 이유는, 31이 소수이며 또한 어떤 수에 31을 곱하는 것은 빠르게 계산할 수 있기 때문이다. 31N=32N-N인데, 32는 25이니 어떤 수에 대한 32를 곱한 값은 shift 연산으로 쉽게 구현할 수 있다. 따라서 N에 31을 곱한 값은, (N << 5) – N과 같다. 31을 곱하는 연산은 이렇게 최적화된 머신 코드로 생성할 수 있기 때문에, String 클래스에서 해시 값을 계산할 때에는 31을 승수로 사용한다.